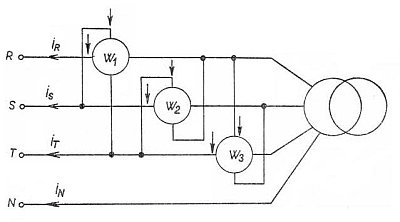
Pri súmernej sústave svorkových napätí a nesúmernej záťaži sa dá jalový výkon merať tromi činnými wattmetrami (obr. 14 ).

Jalový výkon je reálna zložka pootočeného vektora výkonu -jP.
       |        ![]() Obr. 15 Vektorový diagram trojfázovej sústavy |
Wattmetre merajú reálnu zložku výrazu v zátvorke a jalový výkon sa potom rovná :
       Trojvodičová sústava sa zapojí pri tejto metóde bez rozdielu so štvorvodičovou. V trojvodičovej sústave však vystačíme s dvoma wattmetrami.